Baccalaureate 2024. Gabriela Alexandru, physics teacher at the “Grigore Moisil” National College in Bucharest solved the Physics subjects for “The Truth”.
Physics subjects, the easiest in recent years. Photo source: archive
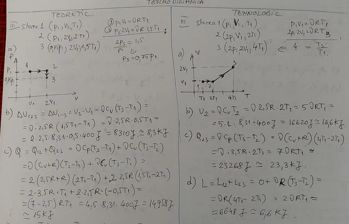
Baccalaureate 2024. Physics subjects
For the highest possible grade, students had to know in-depth notions of mechanics, electricity, optics and thermodynamics.
Baccalaureate 2024. Solving subjects in physics
The maturity exam continues tomorrow with the last test, the one in Mother Tongue. Minority students from Romania will take exams in Hungarian, German, Croatian, Italian, Serbian, Slovak, Ukrainian and the Romanian language. The subjects and correction scales will be published on the website of the Ministry of Education at 15.00 and also on Adevarul.ro.











